Este año se triplicó el número de votantes en elecciones de Jueces de Paz y de Reconsideración

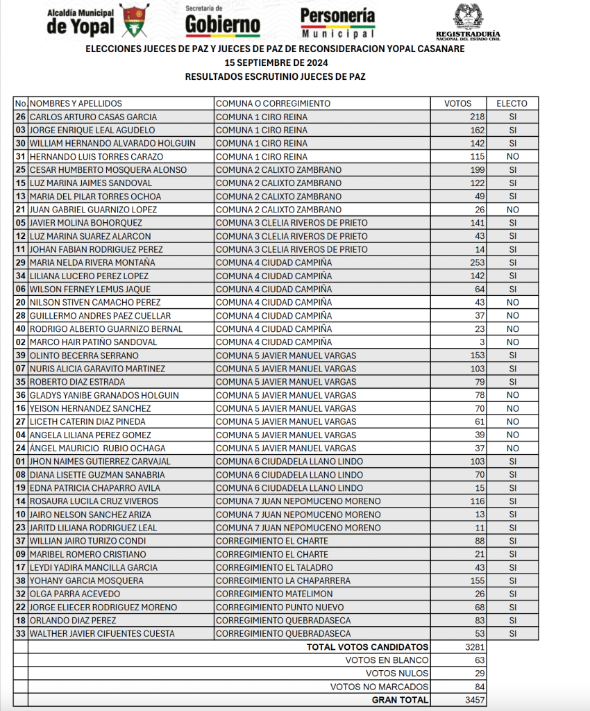
En las elecciones que se realizaron este fin de semana, 3.457 personas salieron a votar en las elecciones de Jueces de Paz y de Reconsideración, más de 320 % con respecto a la jornada que se realizó en el 2019, cuando salieron 1.080 votantes.

De los 57 candidatos inscritos, resultaron electas 45 personas, 29 jueces de paz y 17 jueces de reconsideración.

Las personas electas tendrán un periodo de trabajo de 5 años. 1

Este es el listado de los nuevos Jueces de Paz 

Este es el listado de los nuevos Jueces de Reconsideración 

  1. ↩︎
Marcar como favorito enlace permanente.

Deja una respuesta

Tu dirección de correo electrónico no será publicada. Los campos obligatorios están marcados con *